AULA 1: Conceitos de séries temporais

Insper - PADS

Financial Analytics

Autor: Paloma Vaissman Uribe

1. Revisão de variável aleatória: gerando uma uniforme discreta para o experimento de jogar um dado

Código
import numpy as np
import matplotlib.pyplot as plt

# 1. Definindo o número de simulações
n = 500

# 2. Definindo a função 'dados' (amostragem com substituição)
def dados(n, k):
    """
    Gera uma amostra de 'n' pontos de dados,
    escolhidos de 1 a 'k' com reposição.
    """
    return np.random.randint(1, k + 1, size=n)

# 3. Gerando os dados e plotando
dados_gerados = dados(n, 6)

plt.figure(figsize=(10, 4)) # Define o tamanho da figura
plt.plot(dados_gerados)
plt.title(f'Série Temporal de Dados Gerados (n={n}, k=6)')
plt.xlabel('Índice de Tempo')
plt.ylabel('Valor Amostrado')
plt.grid(axis='y', linestyle='--')
plt.show()

2. Defasagem e diferenciação: Python code

Código
# Usando dados de PIB do BCB

import pandas as pd
from bcb import sgs

# 1. Parâmetros e Download de Dados
data_inicio = "2003-01-01"
CODIGO_IBCBR_REAL = 24364  # IBC-Br Dessazonalizado (proxy do PIB Real)

# Baixa a série IBC-Br e armazena no DataFrame com o nome de coluna 'pib_original'
ibcbr_real = sgs.get({'pib_original': CODIGO_IBCBR_REAL}, start=data_inicio)

# 2. Criação das Variáveis Diferenciada e Defasada (Usando Pandas)

# Diferenciação (pib_diff): Y(t) - Y(t-1)
# O método .diff(1) insere automaticamente NaN no primeiro valor.
ibcbr_real['pib_diff'] = ibcbr_real['pib_original'].diff(periods=1)

# Defasagem (pib_lag): Y(t-1)
# O método .shift(1) move o valor Y(t-1) para o tempo t.
ibcbr_real['pib_lag'] = ibcbr_real['pib_original'].shift(periods=1)

# O DataFrame 'ibcbr_real' (que corresponde ao 'data' do R) está completo.

# 3. Visualização do Dataset Final (Equivalente a head(data))
print(ibcbr_real.head())
            pib_original  pib_diff   pib_lag
Date                                        
2003-01-01      70.53904       NaN       NaN
2003-02-01      71.71545   1.17641  70.53904
2003-03-01      71.36498  -0.35047  71.71545
2003-04-01      70.87144  -0.49354  71.36498
2003-05-01      70.16235  -0.70909  70.87144

3. Função de autocorrelação e simulação de processos

Código
import numpy as np
import matplotlib.pyplot as plt
from statsmodels.graphics.tsaplots import plot_acf
from scipy.stats import norm

# 1. Geração de Dados (Usando scipy.stats.norm)
X = norm.rvs(loc=0, scale=2, size=1000)

# 2. Configuração do Layout do Gráfico (1 linha, 2 colunas)
fig, axes = plt.subplots(1, 2, figsize=(12, 4))

# 3. Plotagem da Série Temporal
axes[0].plot(X)
axes[0].set_title('Série Temporal')
axes[0].set_xlabel('Índice de Tempo')
axes[0].set_ylabel('Valores de X')
axes[0].grid(axis='y', linestyle='--')

# 4. Plotagem da ACF (Função de Autocorrelação)
plot_acf(X,
  ax=axes[1],
  title='Função de Autocorrelação (ACF)',
  zero=False)
axes[1].set_xlabel('Lag')
axes[1].set_ylabel('Autocorrelação')
Text(0, 0.5, 'Autocorrelação')

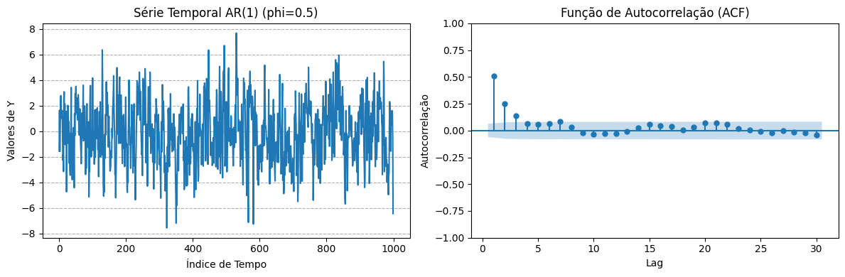
Código
# 1. Parâmetros
phi = 0.5  # Parâmetro AR(1) (phi)
n = 1000   # Número de observações
e = np.random.normal(loc=0, scale=2, size=n)

# 2. Simulação da Série Temporal AR(1)
y = np.zeros(n)
y[0] = e[0]
for i in range(1, n):
    y[i] = phi * y[i-1] + e[i]

# 3. Gráfico
fig, axes = plt.subplots(1, 2, figsize=(12, 4))
axes[0].plot(y)
axes[0].set_title(f'Série Temporal AR(1) (phi={phi})')
axes[0].set_xlabel('Índice de Tempo')
axes[0].set_ylabel('Valores de Y')
axes[0].grid(axis='y', linestyle='--')

plot_acf(y,
  ax=axes[1],
  title='Função de Autocorrelação (ACF)',
  zero=False)
axes[1].set_xlabel('Lag')
axes[1].set_ylabel('Autocorrelação')

plt.tight_layout()
plt.show()

Código
# 1. Parâmetros
phi = 1  # Parâmetro PASSEIO ALEATÓRIO
n = 1000   # Número de observações
e = np.random.normal(loc=0, scale=2, size=n)

# 2. Simulação da Série Temporal AR(1)
y = np.zeros(n)
y[0] = e[0]
for i in range(1, n):
    y[i] = phi * y[i-1] + e[i]

# 3. Gráfico
fig, axes = plt.subplots(1, 2, figsize=(12, 4))
axes[0].plot(y)
axes[0].set_title(f'Série Temporal AR(1) (phi={phi})')
axes[0].set_xlabel('Índice de Tempo')
axes[0].set_ylabel('Valores de Y')
axes[0].grid(axis='y', linestyle='--')

plot_acf(y,
  ax=axes[1],
  title='Função de Autocorrelação (ACF)',
  zero=False)
axes[1].set_xlabel('Lag')
axes[1].set_ylabel('Autocorrelação')

plt.tight_layout()
plt.show()

4. Componentes de uma série

Código
import pandas as pd
import statsmodels.api as sm
from statsmodels.tsa.seasonal import seasonal_decompose
import matplotlib.pyplot as plt

# 1. Dados de AirPassengers
data_r = sm.datasets.get_rdataset(
  dataname="AirPassengers",
  package="datasets")
AP = pd.Series(data_r.data["value"].values,
               index=pd.date_range(start="1949-01-01",
               periods=len(data_r.data), freq="MS"))

# 2. Decomposição Sazonal
decomposeAP = seasonal_decompose(
  AP,
  model="additive", #alt: multiplicative
  period=12)
decomposeAP.plot()

# Exibir o gráfico
plt.show()

5. Prophet: outra forma de estimar componentes sazonais

Código
import pandas as pd
import numpy as np
import statsmodels.api as sm
from prophet import Prophet
from prophet.plot import plot_components

data_r = sm.datasets.get_rdataset(
  dataname="AirPassengers", package="datasets")
AP_series = pd.Series(
    data_r.data["value"].values,
    index=pd.date_range(start="1949-01-01",
    periods=len(data_r.data), freq="MS"))
df = AP_series.reset_index()
df.columns = ['ds', 'y']

m = Prophet()
m.fit(df)
future = m.make_future_dataframe(periods=12, freq='MS')
forecast = m.predict(future)
fig_components = plot_components(m, forecast)
plt.show()

Código
forecast
ds trend yhat_lower yhat_upper trend_lower trend_upper additive_terms additive_terms_lower additive_terms_upper yearly yearly_lower yearly_upper multiplicative_terms multiplicative_terms_lower multiplicative_terms_upper yhat
0 1949-01-01 107.406338 56.356143 116.968458 107.406338 107.406338 -21.387455 -21.387455 -21.387455 -21.387455 -21.387455 -21.387455 0.0 0.0 0.0 86.018883
1 1949-02-01 109.550561 50.399179 108.942538 109.550561 109.550561 -30.055335 -30.055335 -30.055335 -30.055335 -30.055335 -30.055335 0.0 0.0 0.0 79.495226
2 1949-03-01 111.487279 81.769040 140.098541 111.487279 111.487279 -0.461698 -0.461698 -0.461698 -0.461698 -0.461698 -0.461698 0.0 0.0 0.0 111.025581
3 1949-04-01 113.631502 80.860394 137.057427 113.631502 113.631502 -4.912485 -4.912485 -4.912485 -4.912485 -4.912485 -4.912485 0.0 0.0 0.0 108.719017
4 1949-05-01 115.706556 84.384871 140.095194 115.706556 115.706556 -3.611275 -3.611275 -3.611275 -3.611275 -3.611275 -3.611275 0.0 0.0 0.0 112.095281
... ... ... ... ... ... ... ... ... ... ... ... ... ... ... ... ...
151 1961-08-01 509.384228 548.657750 605.971277 509.075824 509.677316 68.199423 68.199423 68.199423 68.199423 68.199423 68.199423 0.0 0.0 0.0 577.583651
152 1961-09-01 512.515877 501.107321 556.141370 512.140578 512.870399 16.508617 16.508617 16.508617 16.508617 16.508617 16.508617 0.0 0.0 0.0 529.024494
153 1961-10-01 515.546505 466.752694 523.591381 515.111071 515.979982 -21.678872 -21.678872 -21.678872 -21.678872 -21.678872 -21.678872 0.0 0.0 0.0 493.867634
154 1961-11-01 518.678155 431.053298 487.798180 518.166608 519.193143 -58.662400 -58.662400 -58.662400 -58.662400 -58.662400 -58.662400 0.0 0.0 0.0 460.015755
155 1961-12-01 521.708783 458.523207 516.203089 521.138279 522.299634 -32.327103 -32.327103 -32.327103 -32.327103 -32.327103 -32.327103 0.0 0.0 0.0 489.381680

156 rows × 16 columns

6. Teste ADF

Código
ibcbr_real
pib_original pib_diff pib_lag
Date
2003-01-01 70.53904 NaN NaN
2003-02-01 71.71545 1.17641 70.53904
2003-03-01 71.36498 -0.35047 71.71545
2003-04-01 70.87144 -0.49354 71.36498
2003-05-01 70.16235 -0.70909 70.87144
... ... ... ...
2025-03-01 109.76296 0.74746 109.01550
2025-04-01 110.24525 0.48229 109.76296
2025-05-01 108.95406 -1.29119 110.24525
2025-06-01 108.68456 -0.26950 108.95406
2025-07-01 108.10784 -0.57672 108.68456

271 rows × 3 columns

Código
import numpy as np
import pandas as pd
from statsmodels.tsa.stattools import adfuller

gdp = ibcbr_real['pib_original']
k_calculado = np.floor((len(gdp) - 1)**(1/3)).astype(int)

resultado_adf = adfuller(
    gdp,
    maxlag=k_calculado,
    autolag=None, # Desativa a seleção automática do k
    regression='c' # Padrão para testar estacionariedade
)

print("=== Resultados do Teste Aumentado de Dickey-Fuller (ADF) ===")
print(f"Estatística de Teste ADF: {resultado_adf[0]:.4f}")
print(f"Valor p (P-value): {resultado_adf[1]:.4f}")
print(f"Número de Defasagens (Lags): {resultado_adf[2]}")
print("Valores Críticos:")
for key, value in resultado_adf[4].items():
    print(f"  {key}: {value:.4f}")
=== Resultados do Teste Aumentado de Dickey-Fuller (ADF) ===
Estatística de Teste ADF: -2.2502
Valor p (P-value): 0.1885
Número de Defasagens (Lags): 6
Valores Críticos:
  1%: -3.4554
  5%: -2.8726
  10%: -2.5726
Código
plt.plot(ibcbr_real['pib_original'])

De volta ao topo